Wanneer je een online enquête gaat houden zijn er een aantal belangrijke zaken waar je rekening mee dient te houden. Naast dat de opbouw goed moet zijn en de vragen een goed antwoord moeten geven op je onderzoeksvraag, is er nog een heel belangrijk punt dat helaas nog wel eens over het hoofd gezien wordt. Het gaat hier om de hoeveelheid respons die nodig is om een betrouwbaar beeld te krijgen van de resultaten die je enquête opleveren. Om je hierbij te helpen kijken we in dit artikel naar de hoeveelheid respondenten die nodig is om betrouwbaar onderzoek te doen met een online enquête!
Wanneer een onderzoek betrouwbaar wordt genoemd wil dat zeggen dat over het algemeen dezelfde onderzoeksresultaten zullen worden verkregen wanneer men hetzelfde onderzoek opnieuw uitvoert. Stel, je houdt een enquête over de groenteconsumptie in Nederlandse gezinnen. Voor je onderzoek enquêteer je een aantal moeders uit je straat. Uiteindelijk heb je hard je
best gedaan en heb je zo’n 15 enquêtes af kunnen nemen. Helaas zijn deze resultaten bij lange na nog niet betrouwbaar genoeg om een conclusie te kunnen trekken over alle Nederlandse gezinnen.
Hiervoor dien je namelijk te kijken naar de gezinssamenstellingen, het opleidingsniveau en nog veel meer andere kenmerken. Hoe meer gezinnen je enquêteert hoe groter de betrouwbaarheid van je resultaten wordt. Aangezien dat praktisch natuurlijk niet haalbaar is zijn er andere manieren om te zorgen dat je na kunt gaan vanaf hoeveel respondenten je onderzoeksresultaten kunt bestempelen als betrouwbaar.
De betrouwbaarheid van een onderzoek is uit te rekenen aan de hand van een formule. We maken daarbij onderscheid tussen een onderzoek met een eindige populatie (= doelgroep van je onderzoek) en een oneindige populatie.
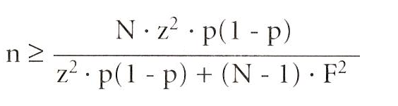
De formule voor een steekproef waarbij de populatie eindig is:

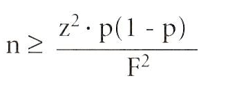
De formule voor een steekproef waarbij de populatie oneindig is:
n = het aantal benodigde respondenten. Altijd naar boven afronden.
z = de standaardafwijking bij een bepaald betrouwbaarheidspercentage. De standaardafwijking is 1,96 bij 95% betrouwbaarheid. Deze wordt bijna altijd gebruikt.
Andere getallen en meer uitleg is terug te vinden op internet of statistiek boeken.
N = de grootte van de populatie.
p = de kans dat iemand een bepaald antwoord geeft (in de meeste gevallen 50%).
F = de foutmarge; veel gebruikte foutmarges zijn 3%, 5% of 7%.
Zoals je ziet is dit nog best ingewikkeld. Daarom zijn er ook calculators ontworpen die je helpen te bepalen welke hoeveelheid respondenten je minimaal dient te vinden voor een betrouwbaar onderzoek. Een voorbeeld van zo’n calculator is te vinden op: http://www.allesovermarktonderzoek.nl/steekproef-algemeen/steekproefcalculator
Mocht je aan de hand van dit artikel nog vragen heb over enquêtes, marktonderzoeken en betrouwbaarheid dan kun je het beste even contact met ons opnemen. Wij helpen je in een vrijblijvend gesprek graag op weg en kijken samen met jou naar wat we voor je kunnen betekenen.